单向叶片式气动马达的工作过程及理论功计算
气动马达各个气腔的工作过程完全相同(相位不同), 这里只分析其中一个气腔的工作过程。

图1 表示两相邻叶片1、2之间的气腔工作过程中的几个特殊位置,

图2 是气动马达的理论示功图。
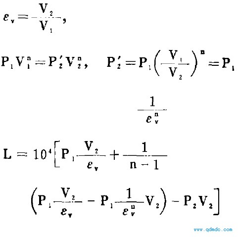
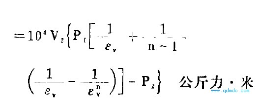
气动马达一个理论工作循环包括进气、膨胀、排气三个过程, 在一个理论工作循环中, 气体对气动马达一个气腔的叶片所做的总理论功为:

设压缩空气动马达气腔内膨胀做功的膨胀比为


式中P , 、P Z 一分别为进、排气绝对压力( 公斤力/ 厘米’)v , 、v Z一分别为进气终了和膨胀终了时气腔的容积( 米’ )n 一多变过程指数, 一般n = 1.25 ~ 1.3。, 一膨胀比。。, 愈大, 压缩空气膨胀做功愈充分, 能量利用率愈高, 但征单位功率的机重大, 当: , 二1 时,每单位功率的机重最小, 但能量利用率低。
一般可取。, 一1.3一1.6
设计用于低温环境的特定气动马达, 还应考虑到膨胀终了时气体的温度不能低于所用的润滑油允许的最低工作温度, 并以这个条件来限制最大膨胀比。


